2025年, 第29卷, 第1期 
刊出日期:2025-02-28
  

  • 全选
    |
    专家论坛
  • 袁婺洲, 吴琼
    生命科学研究. 2025, 29(1): 1-13. https://doi.org/10.16605/j.cnki.1007-7847.2024.10.0181
    摘要 ( ) PDF全文 ( ) HTML ( )   可视化   收藏

    果蝇(Drosophila melanogaster)是研究多种人类疾病发病机制的模式生物。尽管哺乳动物和果蝇的肾脏在形态结构上差异显著, 但两者在肾脏发育的调控机制和肾脏功能方面具有保守性。因此, 果蝇成为研究人类肾病发病机制及快速筛选肾病药物的理想模型。哺乳动物肾脏由肾单位组成, 包括肾小球、肾小囊和肾小管。而果蝇肾脏由肾原细胞和马氏管构成, 其中肾原细胞的功能类似于肾小球, 马氏管类似于肾小管。果蝇肾脏的发育和功能受到多个遗传因子的调控。其中, 免疫球蛋白超家族(immunoglobulin superfamily, IgSF)蛋白、Krüppel样因子15 (Krüppel-like factor 15, Klf15)和JAK-STAT信号通路等对果蝇肾脏的形态建成至关重要, CubilinAmnionlessrudhira等在肾脏功能的发挥中起关键作用。本文综述了哺乳动物和果蝇肾脏的结构组成、发育过程和调控机制, 探讨了利用果蝇模型研究人类肾脏相关疾病的优势与发展前景。

  • 生物化学与分子生物学
  • 张春艳, 余庆, 逄慧敏, 黄飞飞, 常平安
    生命科学研究. 2025, 29(1): 14-20. https://doi.org/10.16605/j.cnki.1007-7847.2024.04.0149
    摘要 ( ) PDF全文 ( ) HTML ( )   可视化   收藏

    作为一种二酰甘油酰基转移酶, 跨膜蛋白68 (transmembrane protein 68, TMEM68)介导一条不依赖酰基辅酶A:二酰甘油酰基转移酶(acyl-CoA:diacylglycerol acyltransferase, DGAT)的三酰甘油生物合成新途径。然而TMEM68催化三酰甘油合成的酰基供体尚不明确。本文通过比较超表达TMEM68对不同脂酰链饱和度的甘油酯、脂肪酸和甘油磷脂的作用, 发现超表达TMEM68对不同饱和度的三酰甘油、二酰甘油、脂肪酸、磷脂酰胆碱和磷脂酰乙醇胺及其醚脂表现出不同的影响, 并且这些脂质的变化存在一定的相关性; 通过DGAT抑制剂处理, 发现TMEM68不依赖DGAT活性合成三酰甘油, 促进脂滴形成; 通过分子对接分析, 发现TMEM68与磷脂:二酰甘油酰基转移酶具有相似甚至更强的针对磷脂酰胆碱和磷脂酰乙醇胺及其醚脂的结合力。这些结果提示, TMEM68以二酰甘油为酰基受体, 可能利用甘油磷脂作为酰基供体合成三酰甘油。

  • 张哲扬, 王健杰, 刘长军
    生命科学研究. 2025, 29(1): 21-31. https://doi.org/10.16605/j.cnki.1007-7847.2024.05.0153
    摘要 ( ) PDF全文 ( ) HTML ( )   可视化   收藏
    腺苷酸激酶(adenylate kinase, ADK)可逆催化2分子腺苷二磷酸(adenosine diphosphate, ADP)转化为腺苷三磷酸(adenosine triphosphate, ATP)和腺苷一磷酸(adenosine monophosphate, AMP), 实现ATP再生。由于游离酶的反应温度和pH适应范围窄、稳定性差且无法重复使用, 导致游离酶的使用成本较高, 这阻碍了其在工业规模生产中的应用。为了实现ADK的固定化, 本研究首先构建了ADK的表达质粒pET-ADK, 并经大肠杆菌BL21(DE3)诱导表达获得重组ADK; 然后优化了壳聚糖的质量浓度以及固定化过程中酶液的pH、酶的质量浓度和固定化时间, 并检测了3D打印固定化ADK的理化性质及ATP再生能力。结果表明: 基于壳聚糖墨水3D打印固定化酶的最优条件是——壳聚糖的质量浓度为3%, 酶液的pH为7.5, 酶的质量浓度为0.10 mg/mL, 固定化时间为3 h; 利用3D打印固定化的ADK, 葡萄糖激酶催化葡萄糖生成D-葡萄糖-6-磷酸的产率提高了52.00%, 而且重复使用8次后, 3D打印固定化的ADK仍能保留初次活性的74.83%。上述结果为可用于ATP再生的ADK固定化研究提供了重要参考。
  • 李宇豪, 张佳臣, 王昊, 白英
    生命科学研究. 2025, 29(1): 32-40. https://doi.org/10.16605/j.cnki.1007-7847.2024.05.0151
    摘要 ( ) PDF全文 ( ) HTML ( )   可视化   收藏

    GRIM19蛋白是线粒体氧化呼吸链还原型烟酰胺腺嘌呤二核苷酸(reduced nicotinamide adenine dinucleotide, NADH)脱氢酶复合物Ⅰ的亚基, 是线粒体维持结构和功能完整性不可或缺的组成部分。最初, GRIM19被认为是一种新型肿瘤抑制基因, 主要在肿瘤增殖和凋亡中发挥重要作用。近年来, GRIM19在其他疾病中的作用不断受到关注, 如自身免疫性疾病、心血管疾病、感染性疾病、肥胖、糖尿病、子宫腺肌病、弱精子症和流产等。本文介绍了GRIM19蛋白在细胞正常生理过程中的功能, 回顾了其在不同疾病中的作用, 为相关疾病的防治提供了新的策略, 并为该领域的后续研究提供了一定的参考。

  • 细胞与生理学
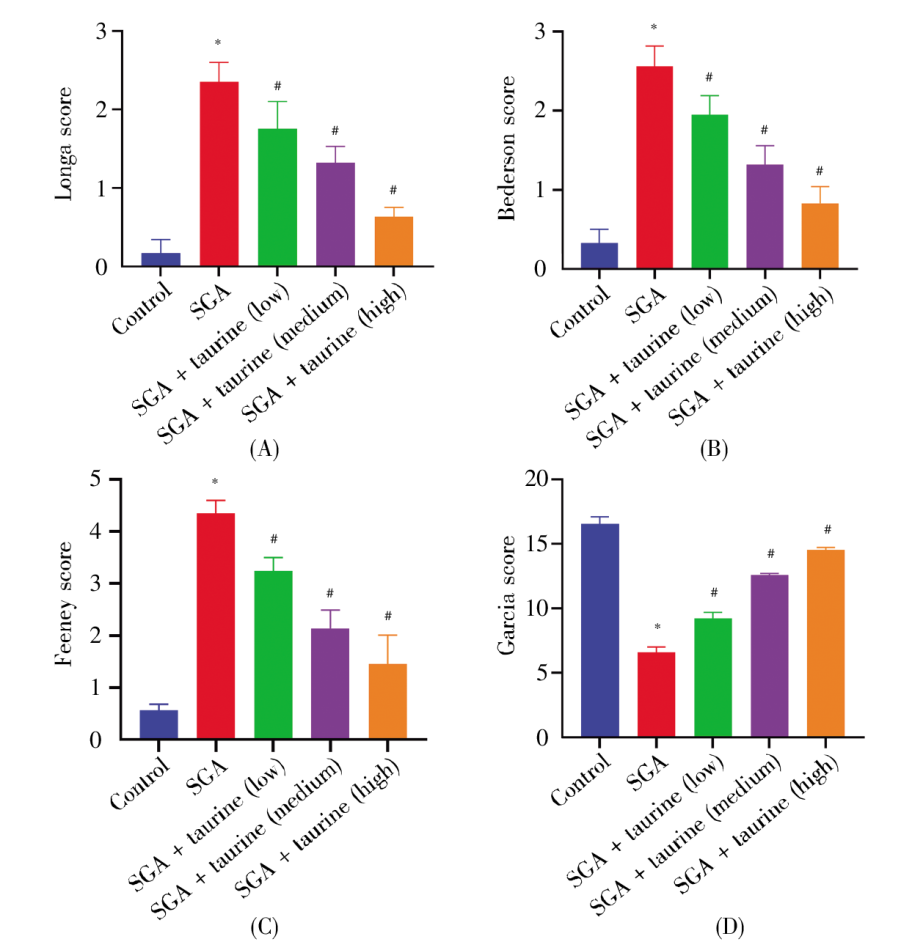
  • 芮菲菲, 朱荣平
    生命科学研究. 2025, 29(1): 41-48. https://doi.org/10.16605/j.cnki.1007-7847.2024.03.0132
    摘要 ( ) PDF全文 ( ) HTML ( )   可视化   收藏
    为了探究牛磺酸(2-aminoethanesulfonic acid, taurine)对小于胎龄(small for gestational age, SGA)大鼠神经元的保护作用和分子机制, 利用全程饮食限制法建立SGA大鼠模型, 利用Longa、Bederson等评分考察牛磺酸对SGA大鼠神经功能的影响, 利用免疫荧光染色和免疫印迹分析考察牛磺酸对SGA大鼠海马体神经炎症和神经损伤的影响, 利用实时荧光定量PCR (quantitative real-time PCR, qPCR)和酶联免疫吸附试验(enzyme linked immunosorbent assay, ELISA)考察牛磺酸对SGA大鼠炎症因子水平的影响, 利用TUNEL检测技术考察牛磺酸对SGA大鼠神经元凋亡的影响, 利用免疫印迹分析考察牛磺酸对SGA大鼠脑部脑源性神经营养因子(brain-derived neurotrophic factor, BDNF)、酪氨酸激酶受体B (tyrosine receptor kinase B, TrkB)和p-TrkB表达的影响。结果显示, 牛磺酸抑制了SGA大鼠海马体神经炎症和神经损伤, 并抑制了SGA大鼠的神经元凋亡, 从而对SGA大鼠神经功能起到改善作用。除此之外, 牛磺酸促进了大鼠脑组织BDNF/TrkB信号通路的激活。上述结果表明, 牛磺酸促进SGA大鼠中BDNF/TrkB信号通路的激活, 并可能经由此通路对SGA大鼠的神经元起保护作用。
  • 范兆宇, 张蕾
    生命科学研究. 2025, 29(1): 49-55. https://doi.org/10.16605/j.cnki.1007-7847.2024.01.0119
    摘要 ( ) PDF全文 ( ) HTML ( )   可视化   收藏

    水稻是人类重要的粮食作物之一。水稻的株型与水稻的产量密切相关。其中, 株高作为株型重要的性状之一受到广泛关注和研究。从半矮化育种即“第一次绿色革命”开始, 水稻株高调控的分子机制逐步得到了较为系统的研究, 为精准分子育种提供了良好的基础。多种植物激素参与水稻株高的调控, 包括赤霉素、生长素和细胞分裂素等, 其中最为重要的是赤霉素信号途径。本文从赤霉素合成与代谢、赤霉素信号转导以及赤霉素与其他植物激素协同作用三个方面重点阐述了赤霉素信号途径在水稻株高调控中的研究进展, 同时, 展望了水稻株高调控研究的主要方向, 旨在为相关基础研究和作物遗传改良提供参考。

  • 技术与应用
  • 张晓晓, 古天乐, 吴朔, 徐溪, 王高文, 遆新宇, 张艳
    生命科学研究. 2025, 29(1): 56-61. https://doi.org/10.16605/j.cnki.1007-7847.2024.01.0113
    摘要 ( ) PDF全文 ( ) HTML ( )   可视化   收藏
    肠道病毒71型(enterovirus 71, EV71)感染会导致手足口病和危及生命的神经系统疾病, 目前尚无针对EV71的抗病毒药物可用。为了利用成簇规则间隔的短回文重复序列及其相关蛋白(clustered regularly interspaced short palindromic repeat/CRISPR-associated protein, CRISPR/Cas)系统抑制EV71感染, 本研究选择CRISPR/Cas13d系统, 构建U6启动子驱动的向导RNA (guide RNA, gRNA)、EF-1α启动子驱动的Cas13d和绿色荧光蛋白(green fluorescent protein, GFP)的表达载体; 将不同gRNA质粒分别转染人胚肾细胞293T (HEK293T)后感染EV71, 通过实时荧光定量PCR检测EV71 VP1 mRNA的含量, 采用Western-blot检测EV71 VP1蛋白的表达量, 利用流式细胞术检测GFP蛋白的含量, 运用CCK-8法检测细胞活力。结果显示, 在5个靶向EV71基因组不同位置的gRNA质粒中, 有4个可以显著抑制EV71 VP1 mRNA和蛋白质表达, 其中1个质粒具有较强的旁切活性, 但是所有的质粒均没有表现出显著的细胞毒性。实验结果初步表明, 可以利用CRISPR/Cas13d系统抑制EV71感染, 但是需要选择合适的gRNA, 以保障抗病毒作用和避免细胞毒性。
  • 殷仑仑, 万旺, 邓中平, 田向荣, 周强, 任小梅
    生命科学研究. 2025, 29(1): 62-68. https://doi.org/10.16605/j.cnki.1007-7847.2024.01.0118
    摘要 ( ) PDF全文 ( ) HTML ( )   可视化   收藏

    本研究建立了一种能同时快速检测艰难梭菌(Clostridioides difficile)不同毒力基因的四重实时荧光PCR方法。首先, 分别以艰难梭菌的tcdA (毒素A基因)、tcdB (毒素B基因)、cdtB (二元毒素B亚基基因)和TPI (丙糖磷酸异构酶基因)为靶基因设计特异性引物和探针, 建立多重实时荧光PCR体系; 然后, 优化该体系中的引物、探针以及退火温度, 并检测优化后体系的灵敏度、特异性、重复性等; 最后, 将其应用于临床样本检测。结果表明, 该方法特异性强、重复性好、成本低, 能够检测1 000 copies/mL的样本, 与其他常见肠道致病菌无交叉反应。

  • 张玉蛟, 宋丰成, 王琳娟, 张哲培, 袁峥嵘
    生命科学研究. 2025, 29(1): 69-76. https://doi.org/10.16605/j.cnki.1007-7847.2024.03.0133
    摘要 ( ) PDF全文 ( ) HTML ( )   可视化   收藏

    微生物是重要的生物资源, 能给人类的生产生活带来重大的社会效益和经济效益。微生物菌种航天育种是指利用太空独特的环境对微生物进行诱变育种, 以获得性状优良的菌株并将其应用于生产实际。近年来, 微生物菌种航天育种已成为空间育种研究的热点, 但迫切需要开发更多的技术和方法, 以推动其在各领域的应用和发展。本文综述了微生物菌种航天育种的背景和机理, 并分析了其在农业、食品加工、医药等领域的应用现状。通过列举和探讨宇宙空间独特环境条件对微生物生理生化特征产生的诱变效应, 解析了航天育种在微生物资源开发与利用中的重要作用。随着航天技术的进步和育种研究的深入, 微生物菌种航天育种有望为农业生产、食品安全和医药健康等领域带来更多创新与突破。本文在已有研究基础上展望了微生物菌种航天育种的发展方向, 为微生物菌种的诱变育种研究及其应用提供了重要参考。

  • 生态学专栏
  • 米其利, 刘文仪, 杨文武, 李浩斌, 许力, 王翔飞, 张建铎, 尹华群, 高茜
    生命科学研究. 2025, 29(1): 77-85. https://doi.org/10.16605/j.cnki.1007-7847.2023.09.0188
    摘要 ( ) PDF全文 ( ) HTML ( )   可视化   收藏

    为探究野火病发病程度对作物叶面细菌群落多样性和基因功能的影响, 利用16S rRNA基因高通量测序技术, 解析了野火病不同发病程度之间植株叶面细菌群落的组成和多样性差异, 并通过PICRUSt工具预测了叶面细菌群落的基因功能。分析结果表明, 随着野火病病情加重, 叶面细菌群落的物种丰富度和多样性显著降低(P<0.01), 叶面细菌群落的组成发生了显著改变(P<0.05); 相应地, 水培液中pH上升、总磷含量降低、速效钾含量先增加再降低。此外, 植物叶面细菌群落的免疫系统疾病、信号分子和相互作用、外源性生物降解与代谢的相关性随着疾病严重加剧而减弱。综上所述, 感野火病植株叶面细菌群落的结构和功能与病害程度密切相关, 降低水培液中pH、提高总磷和速效钾含量可缓解野火病发病程度。

  • 陈婷婷, 惠羽, 朱道弘, 曾杨, 杨筱慧
    生命科学研究. 2025, 29(1): 86-94. https://doi.org/10.16605/j.cnki.1007-7847.2023.12.0226
    摘要 ( ) PDF全文 ( ) HTML ( )   可视化   收藏
    虫瘿是由昆虫取食或产卵刺激引起植物组织细胞异常增殖和分化, 从而形成的突起或瘤状结构。栗瘿蜂(Dryocosmus kuriphilus)虫瘿为其幼虫提供食物来源并保护其生长。营养假说认为, 虫瘿为致瘿昆虫提供了丰富的营养物质, 因此其虫瘿组织中的营养物质含量应高于成瘿部位, 而次生代谢产物的含量则相反。前期研究发现, 栗瘿蜂虫瘿的糖类等营养物质高于其成瘿部位, 而单宁等代谢物质的含量则相反, 与营养假说一致。有研究分别利用代谢组和转录组分析发现, 虫瘿的可溶性糖等营养物质含量高于成瘿部位, 黄酮等次生代谢产物的含量则相反, 同时与光合作用相关的基因表达下调。但是, 目前尚无转录组和代谢组联合分析瘿蜂虫瘿与其成瘿部位差异的报道。本文首次联合代谢组和转录组, 基于通路富集分析, 更加全面地比较了板栗(Castanea mollissima)上栗瘿蜂虫瘿与成瘿部位之间的差异代谢物和差异表达基因。结果显示, 栗瘿蜂虫瘿的氨基酸和多肽等含量上调, 可能与其生长发育有关; 而黄酮含量下调, 可能是栗瘿蜂为了生存启动的防御机制, 这二者均与营养假说相符。此外, 通路富集分析显示, 与光合作用相关的大部分基因在虫瘿中表达下调, 抑制了寄主植物的光合作用。